Files
typstuff/README.md
2025-07-24 23:13:25 +02:00

3.7 KiB

Typstuff, stuff I made with Typst

This repository lists some of the stuff I have made using Typst

Smaller scripts will be included directly in this repository


Table of contents

RIVET

Links: Repo / Universe

Description: Register / Instruction Visualizer & Explainer Tool with Typst, using CeTZ

Chronos

Links: Repo / Universe

Description: A Typst package to draw sequence diagrams with CeTZ

Circuiteria

Links: Repo / Universe

Description: Drawing block circuits with Typst made easy, using CeTZ

Jumble

Links: Repo / Universe

Description: A Typst package providing some hash functions and related stuff

Functastic

Links: Repo

Description: A Typst package to create sign tables of mathematical functions

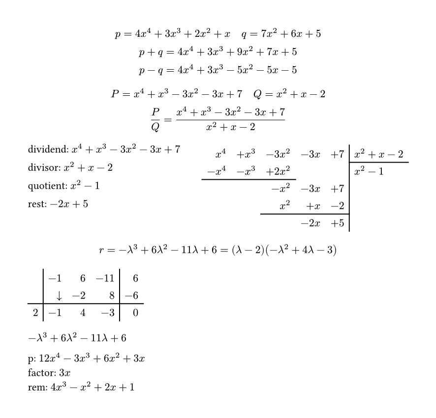
Math tools

Links: Repo

Description: Useful mathematical functions

Sankeynoa

Links: Repo

Description: Beautiful Sankey diagrams using CeTZ

RISCV Utilities

Links: Directory

Description: Some RISCV utilities to show instructions

Simple UML class diagrams

Links: Directory

Description: Functions do make simple class diagrams and directly parse UML

Tasty TacOS

Links: Repo

Description: Various algorithms from the OS course

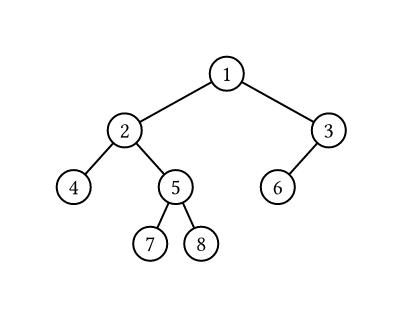
Leetcode trees

Links: Directory

Description: Function to easily display leetcode tree exercises in a CeTZ canvas

Cafeteria menus

Links: Directory

Description: Cafeteria menus for the week, used by a Discord and a Telegram bot

Advent of Code

Links: Repo

Description: My attempt at Advent of Code (2024)

Blobs

Links: Directory

Description: Function to make some blobs in a CeTZ canvas