# Typstuff, stuff I made with Typst This repository lists some of the stuff I have made using Typst Smaller scripts will be included directly in this repository --- ### Table of contents - [RIVET](#rivet) - [Chronos](#chronos) - [Circuiteria](#circuiteria) - [Jumble](#jumble) - [Functastic](#functastic) - [Math tools](#math-tools) - [Sankeynoa](#sankeynoa) - [RISCV Utilities](#riscv-utilities) - [Simple UML class diagrams](#simple-uml-class-diagrams) - [Tasty TacOS](#tasty-tacos) - [Leetcode trees](#leetcode-trees) - [Cafeteria menus](#cafeteria-menus) - [Advent of Code](#advent-of-code) - [Blobs](#blobs) ## RIVET *Links*: [Repo](https://git.kb28.ch/HEL/rivet-typst) / [Universe](https://typst.app/universe/package/rivet) *Description*: Register / Instruction Visualizer & Explainer Tool with Typst, using CeTZ

## Chronos *Links*: [Repo](https://git.kb28.ch/HEL/chronos) / [Universe](https://typst.app/universe/package/chronos) *Description*: A Typst package to draw sequence diagrams with CeTZ

## Circuiteria *Links*: [Repo](https://git.kb28.ch/HEL/circuiteria) / [Universe](https://typst.app/universe/package/circuiteria) *Description*: Drawing block circuits with Typst made easy, using CeTZ

## Jumble *Links*: [Repo](https://git.kb28.ch/HEL/jumble) / [Universe](https://typst.app/universe/package/jumble) *Description*: A Typst package providing some hash functions and related stuff

## Functastic *Links*: [Repo](https://git.kb28.ch/HEL/functastic) *Description*: A Typst package to create sign tables of mathematical functions

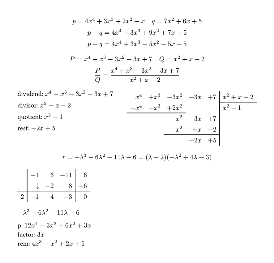
## Math tools *Links*: [Repo](https://git.kb28.ch/HEL/math-tools) *Description*: Useful mathematical functions

## Sankeynoa *Links*: [Repo](https://git.kb28.ch/HEL/sankeynoa) *Description*: Beautiful Sankey diagrams using CeTZ

## RISCV Utilities *Links*: [Directory](./misc/riscv/) *Description*: Some RISCV utilities to show instructions

## Simple UML class diagrams *Links*: [Directory](./misc/uml/) *Description*: Functions do make simple class diagrams and directly parse UML

## Tasty TacOS *Links*: [Repo](https://git.kb28.ch/HEL/tasty-tacos) *Description*: Various algorithms from the OS course

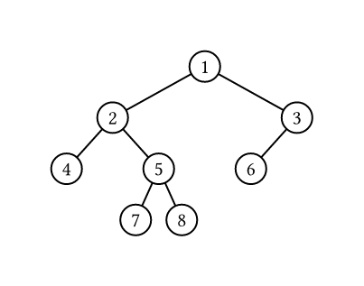
## Leetcode trees *Links*: [Directory](./misc/leetcode_trees/) *Description*: Function to easily display leetcode tree exercises in a CeTZ canvas

## Cafeteria menus *Links*: [Directory](./misc/menus/) *Description*: Cafeteria menus for the week, used by a Discord and a Telegram bot

## Advent of Code *Links*: [Repo](https://git.kb28.ch/HEL/AdventOfCode2024) *Description*: My attempt at Advent of Code (2024)

## Blobs *Links*: [Directory](./misc/blobs/) *Description*: Function to make some blobs in a CeTZ canvas