Typstuff, stuff I made with Typst
This repository lists some of the stuff I have made using Typst
Smaller scripts will be included directly in this repository
Table of contents
- RIVET
- Chronos
- Circuiteria
- Functastic
- Math tools
- Sankeynoa
- RISCV Utilities
- Simple UML class diagrams
- Tasty TacOS
- Leetcode trees
- Cafeteria menus
- Advent of Code
RIVET
Description: Register / Instruction Visualizer & Explainer Tool with Typst, using CeTZ
Chronos
Description: A Typst package to draw sequence diagrams with CeTZ
Circuiteria
Description: Drawing block circuits with Typst made easy, using CeTZ
Functastic
Links: Repo
Description: A Typst package to create sign tables of mathematical functions
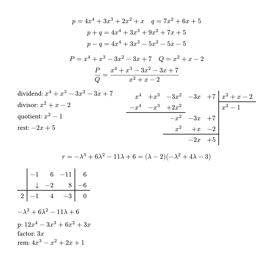
Math tools
Links: Repo
Description: Useful mathematical functions
Sankeynoa
Links: Repo
Description: Beautiful Sankey diagrams using CeTZ
RISCV Utilities
Links: Directory
Description: Some RISCV utilities to show instructions
Simple UML class diagrams
Links: Directory
Description: Functions do make simple class diagrams and directly parse UML
Tasty TacOS
Links: Repo
Description: Various algorithms from the OS course
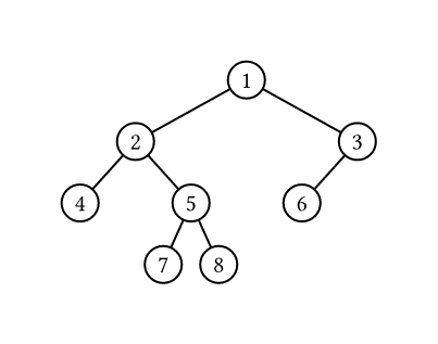
Leetcode trees
Links: Directory
Description: Function to easily display leetcode tree exercises in a CeTZ canvas
Cafeteria menus
Links: Directory
Description: Cafeteria menus for the week, used by a Discord and a Telegram bot
Advent of Code
Links: Repo
Description: My attempt at Advent of Code (2024)











