_break and _opt call grp instead of _grp: compilation error #17
Reference in New Issue
Block a user
No description provided.
Delete Branch "%!s()"
Deleting a branch is permanent. Although the deleted branch may continue to exist for a short time before it actually gets removed, it CANNOT be undone in most cases. Continue?
Edit: I also just noticed that the opt block doesn't expand the width based on the title length nor its content. It does work if I put another grp inside the opt (in my case a loop inside of opt). But not if I use _seq.
I noticed this when refactoring the package for styling in
d6aeb33fa5I don't know if this is worth a patch release or not though, especially since it is only an alias
Yes this was also a know bug that should be fixed in the dev branch (see #16)
Can I use the dev branch somehow? Or do I have to clone the repo and include the file manually?
At the end of the day, that's what patch releases are for :D
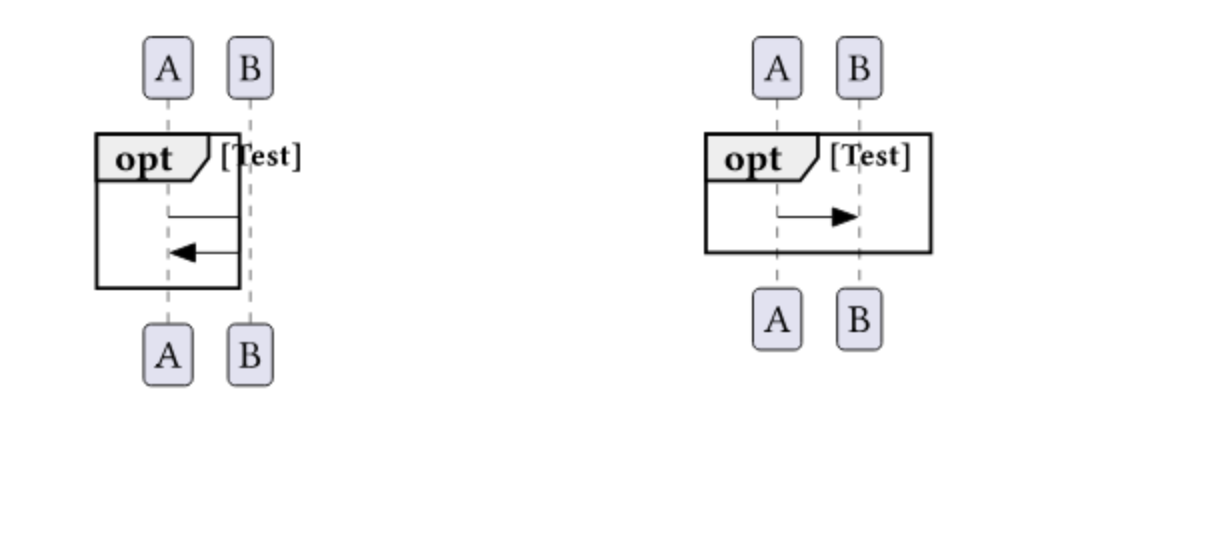
Hey! I figured out how to use the dev branch (@local packages). However, the above code doesn't work with self-calls. The MRE is this:
Here is a screenshot with a comparison between the self-call and a sequence between A and B:

Indeed, this should affect all groups :(
Edit: I opened a separate issue for this